中二叠世蜓类有孔虫古生态学研究新进展
中二叠世特提斯区域蜓类有孔虫产地分布图
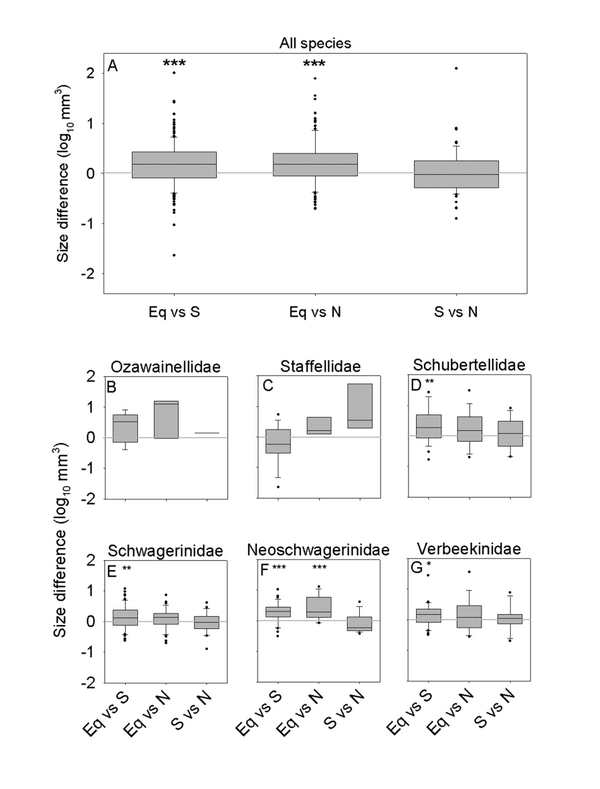
不同纬度区种内个体大小差异
生物体个体大小与纬度的关系一直为现代生态学家所关注。早在1847年,Bergmann就提出温血动物的个体大小与纬度呈正相关,即温血动物在高纬度区个体会比低纬度区的大,这也被科学界称为Bergmann定律。近来年的研究证实很多鸟类、哺乳类、鱼类、头足类、腹足类等都遵循这个定律,但也有很多例外的情况,如现生海相双壳类的个体大小与纬度并无直接关系。然而,远古时期生物个体大小与纬度的关系却知之甚少,因为在国际上利用化石记录来研究此课题的工作才刚刚起步。
针对这个问题,中国科学院南京地质古生物研究所晚古生代创新团队成员张以春副研究员与美国斯坦福大学Jonathan Payne博士合作,在自建的蜓类有孔虫数据库中,选取中二叠世分布于特提斯洋的42个地块(地区)中的6646个样品进行了统计分析。研究结果表明,位于赤道区的蜓类分子的大小明显大于位于南北过渡带的分子,而且这种个体上大小的差异是由种内差异所决定。特别是旋壁中具有蜂巢层的分子如新希瓦格蜓类,表现最为明显。颇有意思的是,在时间序列上,晚古生代的有孔虫个体大小与海水中的含氧量呈正相关,按此理论推断,过渡区的蜓类理应比赤道区的个体大,但本研究却得到相反的结论,由此可见,海水中的含氧量在空间上并不是控制蜓类有孔虫大小的因素。综合分析研究认为:蜓类有孔虫旋壁中可能含有的藻类共生体、不同纬度区的季节性、不同纬度区海水中碳酸钙的溶解度可能是影响蜓类有孔虫在空间上个体大小差异的主导因素,同时也表明生物个体大小在空间和时间上可以有不同的控制因素。
该项研究成果在线发表于6月7日的《PLoS ONE》杂志上。
中国科学院南京地质古生物研究所













