青藏高原新近纪高精度综合地层框架的建立和完善
图1 西藏札达盆地上新世哺乳动物群生态复原(Julie Selan绘)
图2 西藏吉隆盆地晚中新世沃马组地层
图3 青藏高原及其邻区新近纪地层对比
图4 青藏高原南部新近纪碳氧稳定同位素变化趋势
(化石网cnfossil.com)据中国科学院古脊椎动物与古人类研究所:在20世纪70年代开展的第一次青藏高原综合科学考察中,作为证明青藏高原隆升历程和幅度的重要证据之一,三趾马(Hipparion)化石发现于西藏吉隆县沃马盆地和比如县布隆盆地的中新世地层。进入新世纪,根据在西藏阿里地区札达盆地的上新世地层中发现的披毛犀(Coelodonta thibetana)、雪豹(Panthera blytheae)、北极狐(Vulpes qiuzhudingi)、盘羊(Protovis himalayensis)的祖先类型等化石,提出了第四纪冰期动物起源于青藏高原的“走出西藏”理论。中新世和上新世组成了地质时代中的新近纪,由于青藏高原在新近纪的显著隆升对东亚乃至全球的气候环境产生了巨大的影响,因此,建立青藏高原新近纪地层框架对地球科学各领域的研究都具有重要的意义。
近日,中国科学院古脊椎动物与古人类研究所邓涛研究员和中国科学院青藏高原研究所方小敏院士率领的团队在《中国科学:地球科学》(Science China: Earth Sciences)上以“青藏高原及其周边新近纪综合地层、生物群与古地理演化”为题,对青藏高原及其周边的新近纪地层和化石群进行总结,建立和完善了可用于国际对比的青藏高原地区新近纪高精度综合地层框架,并查明了青藏高原及其周边地区新近纪的古气候环境演化特征。
国际新近纪年代地层系统以海相为标准,分为中新统的6个阶和上新统的2个阶。新生代以来,陆相地层所占的比例迅速增加,到新近纪时已远远超过海相地层,在青藏高原及其周边地区几乎全部为陆相地层。中国的中新统包括谢家阶、山旺阶、通古尔阶、灞河阶、保德阶共5个阶,上新统包括高庄阶和麻则沟阶2个阶,除中中新统的通古尔阶以距今1500万年为底界外,其余各阶都与对应的国际海相阶具有相同的古地磁定义和时限。青藏高原有不少地层出露好且富含哺乳动物化石的盆地,新近系谢家阶和灞河阶的底界层型剖面分别位于西宁盆地和临夏盆地,并有精细的古地磁测年与哺乳动物化石相互配合,其余各阶的底界在青藏高原也可以有效确定。
哺乳动物在中生代起源,进入新生代以后,哺乳动物化石在陆相地层的划分对比中占有非常重要的地位,在新近纪尤其倚重于啮齿类、食肉类、长鼻类、奇蹄类和偶蹄类化石。在青藏高原地区的一系列新生代盆地发现了丰富的哺乳动物化石,如西藏布隆、吉隆、札达盆地、青海柴达木盆地、甘肃临夏盆地,以及青藏高原南缘的西瓦立克地区等。哺乳动物和其他生物化石的最大不同,也是最优越的一点是其进化速度快,且形态特征鲜明而易于判别。即使在化石很少,甚至很不完整的情况下,在对含化石地层尚未进行详细研究的初始阶段,古哺乳动物学家也很容易对化石依据其所处的演化阶段进行时间排序。东亚地区许多哺乳动物首现属出现在青藏高原及其周边地区,在东北缘的临夏盆地和西南缘的西瓦立克地区尤为典型,其中,西瓦立克的原恐象(Prodeinotherium)首现于中新统底界,旧大陆最早的三趾马首现于临夏盆地的灞河阶底界。
青藏高原于新生代初全面完成了特提斯洋陆转换和地体的拼合,成为统一的陆块,步入陆内演化阶段。根据构造演化背景和形成机制、构造-地貌景观、沉积充填序列和沉积环境演化过程,青藏高原及其邻区的新生代盆地被划分为5个地层区,即南疆-西昆仑区、柴达木-祁连-西秦岭区、羌塘区、滇西-川西区、冈底斯-喜马拉雅-西瓦立克区,并可进一步细分为次一级的地层小区。在生物地层和磁性地层的约束下,以地质年代为框架,青藏高原及其周边各地层分区的岩石地层单位得到精细的对比。
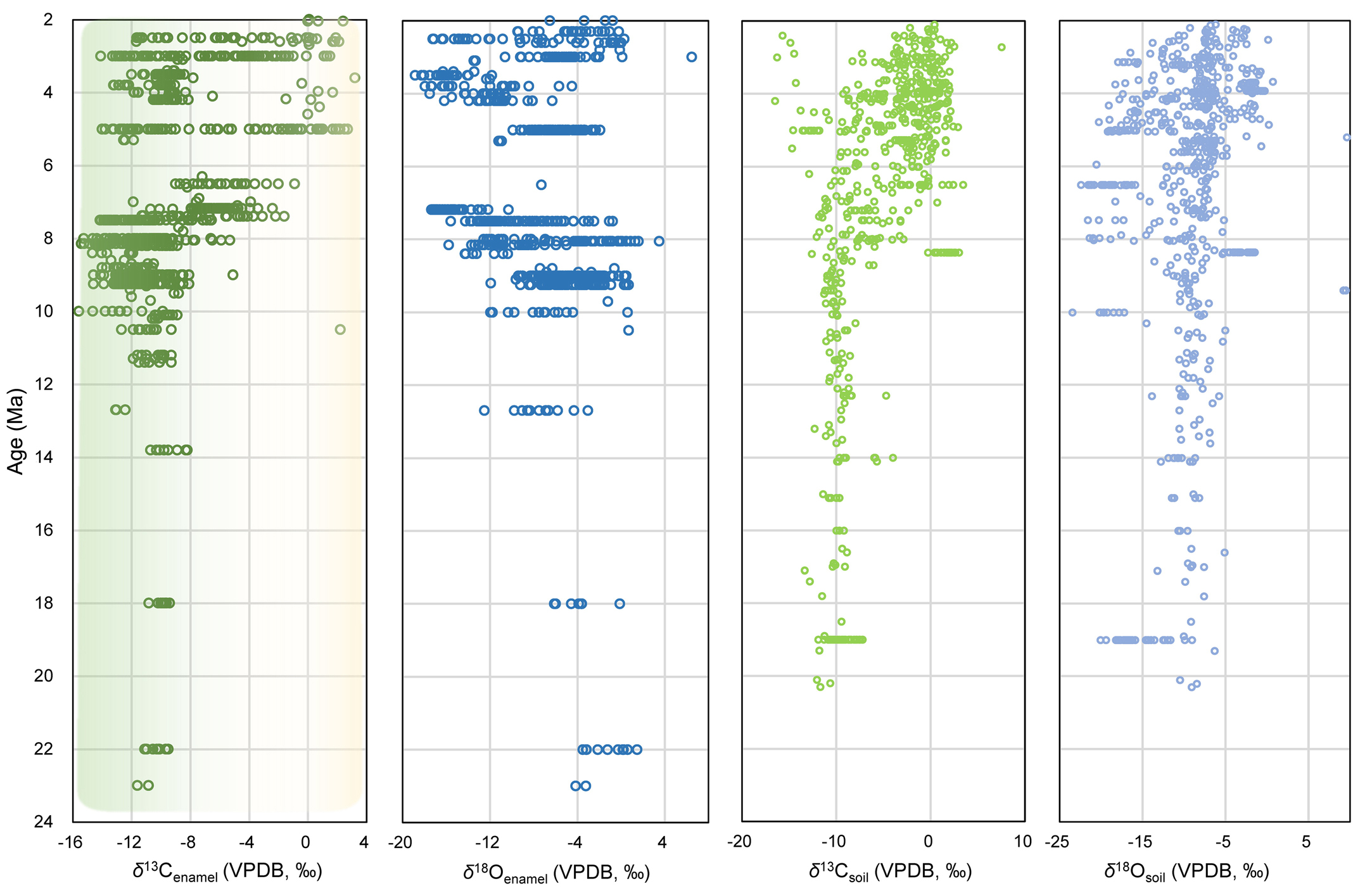
对青藏高原及其周缘地区新生代沉积物及其所含的哺乳动物化石进行的牙釉质和古土壤碳氧同位素分析重建了气候环境背景及植被发育特征,发现其既与全球变化相关,又有地区性的特点。根据碳同位素变化得到的晚中新世C4植物扩张事件证据来自于青藏高原南缘,但形成鲜明对比的是,多个食草哺乳动物类群和古土壤碳酸盐及有机质的δ13C指示在青藏高原北缘直到新近纪末期仍然缺少明确或显著的C4植物信号。δ18O分析显示在新生代存在几次重大的气候变化事件,尤其是晚中新世末期约距今700万年的δ18O正漂指示了青藏高原南北两侧向更干旱环境的转变。青藏高原在晚中新世的强烈隆升强化了海陆热力对比,由此加强了季风环流并导致C4植被在南亚扩张,但能够为中国北方带来大气降水和C4植物适宜气候的东亚夏季风还不足以影响到青藏高原北部地区。青藏高原在中新世整体上已上升至海拔3000米左右,成为阻碍大型哺乳动物交流的屏障;至上新世达到4000米以上的现代海拔高度,由此形成冰冻圈环境,导致冰期动物群祖先类型出现。
本研究得到第二次青藏高原综合科学考察研究专项、中国科学院战略性先导科技专项和国家自然科学基金资助。















